GLMM Discrepancy Why Wide Confidence Intervals And Small P-values

by ADMIN 66 views
Iklan Headers

Introduction

Hey guys! Ever found yourself scratching your head when your p-values are screaming significance, yet your confidence intervals are yawning wide? You're not alone! In this article, we're diving deep into a common conundrum encountered when using Generalized Linear Mixed Models (GLMMs): why small p-values sometimes coexist with wide confidence intervals. We'll use a real-world example – a moth capture experiment – to break down the mystery and understand the statistical nuances at play. So, buckle up, and let's get started!

The Moth Capture Experiment: A Case Study

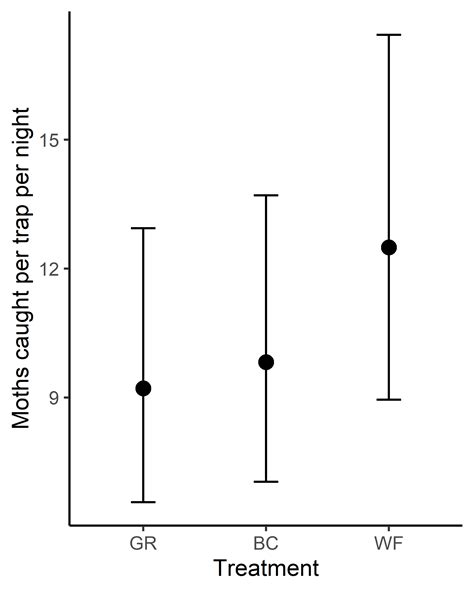
Imagine you're a researcher investigating the effect of different treatments on moth populations. You've set up a field experiment with 15 blocks, each receiving one of three treatments: GR, BC, and WF. Your goal is to determine if there's a significant difference in the number of moths captured per night across these treatments. You've meticulously collected data, and now it's time to analyze it using a GLMM, a powerful tool for handling this kind of data.

This experimental setup, common in ecological and agricultural studies, inherently introduces variability. Factors like weather, local vegetation, and even the specific characteristics of each block can influence moth populations. Ignoring these factors can lead to misleading results. This is precisely where GLMMs shine. By incorporating random effects (like the block effect), GLMMs account for this inherent variability, providing a more accurate picture of the treatment effects.

When dealing with count data, such as the number of moths captured, GLMMs often employ a Poisson or negative binomial distribution. These distributions are specifically designed to model counts, which are non-negative integers. The choice between Poisson and negative binomial depends on the data's dispersion – whether the variance is equal to the mean (Poisson) or greater than the mean (negative binomial). Overdispersion, where the variance exceeds the mean, is common in ecological data due to factors like clustering or unmeasured variables. Failing to account for overdispersion can lead to underestimated standard errors and, consequently, overly optimistic p-values.

Let's say you've run your GLMM and obtained some results. The p-values for the treatment effect are surprisingly small, suggesting a significant impact. However, when you examine the confidence intervals for the treatment effects, they appear unusually wide. This discrepancy is perplexing. How can the p-values indicate significance while the confidence intervals suggest considerable uncertainty? This is the core question we'll unravel in the following sections.

Understanding the Discrepancy: P-values vs. Confidence Intervals

To understand this seemingly contradictory result, it's crucial to grasp the distinct roles of p-values and confidence intervals in statistical inference. P-values tell us the probability of observing data as extreme as, or more extreme than, what we've observed, assuming there is no true effect (the null hypothesis). A small p-value (typically less than 0.05) suggests that the observed data is unlikely under the null hypothesis, leading us to reject it. In our moth experiment, a small p-value for the treatment effect indicates that the differences in moth captures among the treatment groups are unlikely to have occurred by chance alone.

On the other hand, confidence intervals provide a range of plausible values for the true effect size. A 95% confidence interval, for example, means that if we were to repeat our experiment many times, 95% of the resulting intervals would contain the true population parameter. The width of the confidence interval reflects the precision of our estimate. A narrow interval indicates a precise estimate, while a wide interval suggests greater uncertainty. In the context of our moth experiment, a wide confidence interval for the treatment effect implies that we have a less precise estimate of the true difference in moth captures between the treatment groups.

The key to resolving the apparent contradiction lies in recognizing that p-values and confidence intervals address slightly different questions. P-values focus on the statistical significance of an effect – whether there is any effect at all. Confidence intervals, however, focus on the practical significance – the size and precision of the effect. It's possible to have a statistically significant effect (small p-value) that is also small in magnitude and imprecisely estimated (wide confidence interval).

In the GLMM context, wide confidence intervals often arise due to the model's complexity and the inherent variability in the data. GLMMs incorporate both fixed effects (like the treatment effect) and random effects (like the block effect). Estimating these random effects requires accounting for the correlations and dependencies within the data, which can increase the uncertainty in the fixed effect estimates. This increased uncertainty manifests as wider confidence intervals. Additionally, small sample sizes or high variability within the data can further contribute to wider intervals. So, while your p-value might be significant, the wide confidence interval suggests you need to interpret the magnitude of the effect with caution.

Common Reasons for Wide Confidence Intervals with Small P-values in GLMMs

Several factors can contribute to the scenario where you have small p-values alongside wide confidence intervals in your GLMM results. Let's break down some of the most common culprits:

  1. Overdispersion: As mentioned earlier, overdispersion is a common issue in count data, particularly in ecological studies. If the variance in your moth counts is significantly greater than the mean, a Poisson GLMM may not be the best fit. Overdispersion can lead to underestimated standard errors and artificially small p-values. At the same time, the model's attempt to account for the excess variability can widen the confidence intervals.
  2. Small Sample Size: This one's a classic. Small sample sizes always lead to less precise estimates. With only 15 blocks in your experiment, the model has limited information to estimate both the fixed and random effects. This lack of information translates directly into wider confidence intervals. While the p-value might still be significant, the wide interval cautions against overinterpreting the effect size.
  3. High Variability: Even with a moderate sample size, high variability within your data can lead to wide confidence intervals. If the moth counts vary greatly within each treatment group or across blocks, it becomes harder to precisely estimate the treatment effect. This increased variability increases the standard errors and, consequently, the width of the confidence intervals.
  4. Model Complexity: GLMMs are powerful, but their complexity can sometimes work against you. Including too many random effects or complex random effect structures can strain the data, particularly with smaller sample sizes. The model might be struggling to estimate all the parameters accurately, leading to wider confidence intervals for the fixed effects. Consider whether all the random effects are truly necessary and if a simpler model might be more appropriate.
  5. Boundary Effects: This is a slightly more technical point, but it can be relevant, especially when dealing with count data. If the estimated effect size is near a boundary (e.g., near zero), the confidence interval may be constrained, leading to a wider interval on one side. This can happen when the true effect is small or when the data is sparse.

In the context of our moth capture experiment, any combination of these factors could be at play. Perhaps the moth populations exhibit high variability across blocks, or the sample size of 15 blocks is simply not large enough to precisely estimate the treatment effects. It's also possible that overdispersion is present, or that the model structure is too complex for the available data. To resolve the discrepancy, we need to carefully examine the data and the model assumptions.

Diagnosing and Addressing the Discrepancy

Okay, so we've identified some potential reasons for the wide confidence intervals and small p-values. Now, let's talk about how to diagnose the issue and, more importantly, what steps you can take to address it.

  1. Check for Overdispersion: The first step is to explicitly check for overdispersion in your data. You can do this by calculating the dispersion parameter or by comparing the deviance of your model to its degrees of freedom. If overdispersion is present, switching from a Poisson GLMM to a negative binomial GLMM might be the solution. The negative binomial distribution is better equipped to handle data with variance exceeding the mean.
  2. Examine Residuals: Residual plots are your friends! They can reveal patterns in the data that the model isn't capturing. Look for non-random patterns in the residuals, which might indicate model misspecification or violations of assumptions. For GLMMs, you'll want to examine conditional residuals, which account for the random effects.
  3. Simplify the Model: If your model is overly complex, try simplifying it. Start by removing random effects that don't significantly improve the model fit. You can use likelihood ratio tests or information criteria (like AIC or BIC) to compare different model structures. Remember, a simpler model with fewer parameters is often more robust, especially with limited data.
  4. Increase Sample Size: This is often the most direct solution, but it's not always feasible. If possible, collecting data from more blocks or over a longer period can provide more information and lead to more precise estimates. A larger sample size reduces the impact of random variability and allows the model to better estimate the fixed and random effects.
  5. Consider Bayesian Methods: Bayesian GLMMs offer an alternative approach to inference. They provide a full probability distribution for the parameters, allowing you to assess uncertainty more comprehensively. Bayesian methods can be particularly useful when dealing with complex models or limited data. They also allow you to incorporate prior information, which can improve the precision of your estimates.
  6. Report Both P-values and Confidence Intervals: Regardless of the cause of the discrepancy, it's crucial to report both p-values and confidence intervals in your results. This provides a more complete picture of the evidence. Don't just focus on statistical significance; discuss the magnitude and precision of the effects as well. A small p-value with a wide confidence interval should be interpreted cautiously. It suggests there might be an effect, but the effect size is uncertain.

In our moth capture experiment, let's say you find evidence of overdispersion. Switching to a negative binomial GLMM might narrow the confidence intervals. If the sample size is the limiting factor, consider whether it's feasible to collect data from additional blocks. By systematically addressing these potential issues, you can gain a clearer understanding of the treatment effects and make more informed conclusions.

Conclusion: Interpreting with Caution and Clarity

Guys, the coexistence of small p-values and wide confidence intervals in GLMMs can be perplexing, but it's a valuable reminder that statistical inference is nuanced. It's not just about declaring significance; it's about understanding the magnitude and precision of the effects you're studying. By carefully considering factors like overdispersion, sample size, variability, and model complexity, you can diagnose the reasons behind the discrepancy and take appropriate steps to address it.

Remember, statistical significance (small p-value) doesn't always equate to practical significance. Wide confidence intervals indicate uncertainty in the effect size. When faced with this situation, interpret your results with caution and clearly communicate the limitations. Report both p-values and confidence intervals, and discuss the implications of the uncertainty in your estimates. By doing so, you'll paint a more accurate and informative picture of your findings. Keep experimenting, keep analyzing, and most importantly, keep asking questions!