Placing Shortintertext Between Blocks Of Subequations In LaTeX

by ADMIN 63 views
Iklan Headers

Introduction

Hey guys! Ever found yourself wrestling with LaTeX, trying to get your subequations to play nice with \shortintertext? It's a common hiccup, especially when you're aiming for that perfect equation layout. You know, the kind that makes your math look elegant and readable. We have a specific challenge here. The goal is to insert a \shortintertext{where} command between two blocks of subequations. The usual nesting of environments throws a wrench in the works, making a direct insertion impossible. But don’t worry, we're going to dive deep into this, explore the problem, and then walk through a solid solution. Trust me, by the end of this article, you'll be a pro at handling this tricky situation. You'll learn not just how to do it, but also why it works, giving you the power to tackle similar LaTeX puzzles in the future. We’ll break down the code, explain the concepts, and make sure you’re equipped to make your mathematical expressions shine. So, let’s get started and turn that LaTeX frustration into LaTeX mastery!

Understanding the Problem

Okay, let’s break down the core problem we're tackling. When you're crafting complex mathematical documents, subequations are your best friends for organizing related equations under a single, overarching equation number. It keeps things neat and tidy, especially when you have a series of equations that logically belong together. Now, the \shortintertext command is a lifesaver for adding brief explanations or connectors within your equation environment. It lets you weave words into your math, making the flow of logic crystal clear to your readers. But here’s the snag: LaTeX environments have a specific structure, and they like to be closed in the reverse order they were opened. Think of it like nesting dolls – you can’t take out the middle doll without removing the outer one first. When you try to slip a \shortintertext between subequation blocks, the nested environment structure often throws a fit. LaTeX gets confused because the \shortintertext tries to interrupt the natural flow of the subequations environment. This is because the subequations environment, by its nature, expects a continuous sequence of equation-like content. Inserting text directly using \shortintertext can break this expectation, leading to errors or unexpected formatting. To really nail this, you need to understand how LaTeX handles these nested environments and how the subequations environment is designed to function. It's all about respecting the rules of the LaTeX engine while still achieving the layout you desire. So, we need a workaround, a clever trick to insert our text without disrupting the environment's delicate balance. That's precisely what we're going to explore next. We’ll find a way to play by LaTeX's rules and still get our \shortintertext exactly where we want it. This involves a bit of LaTeX finesse, but trust me, it’s totally achievable!

The Solution: A Step-by-Step Guide

Alright, let’s dive into the solution! The key to successfully inserting \shortintertext between blocks of subequations lies in a strategic maneuver: we're going to use the aligned environment. Think of the aligned environment as a flexible container within your equation environment. It allows you to align multiple lines of equations (or, in our case, subequations) vertically. By encapsulating our subequation blocks within aligned, we create a structure that's more amenable to the insertion of \shortintertext. This approach gives us the control we need without upsetting LaTeX's inherent environment hierarchy. Let's walk through the steps:

  1. Start with the Basic Structure: Begin with your standard \documentclass, include the necessary packages (like amsmath for math goodness), and set up your document environment. This is the foundation upon which we'll build our solution.
  2. Enclose Subequations in aligned: Instead of directly placing your subequations within the subequations environment, we'll wrap them in an aligned environment. This is where the magic starts to happen. The aligned environment will act as a container, allowing us to manipulate the content more freely.
  3. Insert \shortintertext: Now comes the crucial part. Within the aligned environment, you can freely use \shortintertext between your blocks of subequations. LaTeX will now interpret this as a natural break between the aligned content, rather than an interruption of the subequations environment.
  4. Fine-Tune as Needed: Depending on your specific layout needs, you might want to adjust spacing or alignment. The beauty of this approach is that it gives you the flexibility to do so. You can use LaTeX's built-in spacing commands or further nest environments for even finer control.

By following these steps, you'll be able to seamlessly insert \shortintertext between your subequation blocks, creating a clear and well-structured mathematical presentation. This method is not just a workaround; it's a robust technique that you can apply in various similar situations. It’s all about understanding the underlying principles of LaTeX environments and using them to your advantage. So, let’s get our hands dirty with some code examples and see this in action!

Code Example and Explanation

Time to get our hands on some code! Let’s walk through a concrete example to illustrate how to use the aligned environment to insert \shortintertext between blocks of subequations. This will make the concept crystal clear and give you a working template to adapt for your own documents.

\documentclass{article}
\usepackage{amsmath}

\begin{document}

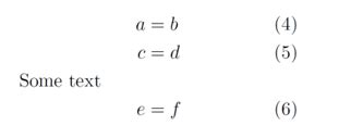
\begin{subequations}
\begin{equation}
  \begin{aligned}
    a &= b + c \\
    d &= e + f \\
    \shortintertext{where}
    g &= h + i \\
    j &= k + l
  \end{aligned}
\end{equation}
\end{subequations}

\end{document}

Let’s break this down piece by piece:

  • \documentclass{article}: This line tells LaTeX that we're creating an article.
  • \usepackage{amsmath}: This is crucial! We need the amsmath package for its advanced math typesetting features, including the aligned environment and subequations.
  • \begin{document} and \end{document}: These mark the beginning and end of our document, respectively. Everything inside these tags will be processed by LaTeX.
  • \begin{subequations} and \end{subequations}: This environment groups our equations under a single equation number with sub-numbering (e.g., 1a, 1b).
  • \begin{equation} and \end{equation}: This creates a single equation block. We wrap our aligned environment inside it.
  • \begin{aligned} and \end{aligned}: This is the star of the show! The aligned environment allows us to align multiple lines of equations. Inside this environment, we can use \\ to create line breaks and \shortintertext to insert text.
  • a = b + c \\ d = e + f: These are our first two subequations. The \\ creates a new line.
  • \shortintertext{where}: Here’s where we insert our explanatory text. The \shortintertext command does exactly what it says – it inserts a short piece of text within the equation environment, maintaining proper spacing and formatting.
  • g = h + i \\ j = k + l: These are our next two subequations. Again, \\ creates a new line.

When you compile this code, you’ll see that the “where” text is neatly inserted between the two blocks of subequations, all within the same equation number. This is the power of the aligned environment in action! By using this approach, we’ve bypassed the limitations of directly inserting \shortintertext within the subequations environment. This example is a template. You can adapt it to your own needs by adding more equations, changing the text in \shortintertext, or adjusting the alignment within the aligned environment. The key takeaway is the structure: subequations containing equation containing aligned. This structure gives you the flexibility to create complex and well-formatted mathematical expressions. Now, let's explore some alternative approaches and further tips to enhance your LaTeX skills!

Alternative Approaches and Tips

While the aligned environment trick is a solid solution, LaTeX is all about flexibility. There are often multiple ways to achieve the same result, and exploring alternative approaches can deepen your understanding and expand your LaTeX toolkit. So, let’s discuss a few other techniques and some handy tips for working with subequations and intertext.

1. The ext Command

Sometimes, you might not need the full vertical spacing that \shortintertext provides. In such cases, the \text command (from the amsmath package) can be a simpler alternative. The \text command allows you to insert regular text within math mode, but it doesn't create a line break like \shortintertext. This can be useful for adding short phrases or labels directly within an equation line.

Here’s a quick example:

a = b + c \text{  where  } d = e + f

This will insert “where” in the same line as the equations, which can be perfect for concise annotations. However, be mindful of spacing – you might need to add extra spaces manually to ensure readability.

2. Custom Environments

For more complex layouts or recurring patterns, consider creating your own custom environments. This might sound intimidating, but it can significantly streamline your workflow. By defining a new environment, you can encapsulate a specific structure (like the aligned within subequations) and reuse it throughout your document. This not only saves you typing but also makes your code cleaner and more maintainable.

3. Spacing Adjustments

LaTeX is generally excellent at spacing, but sometimes you might need to tweak things manually. Commands like \vspace{amount} and \hspace{amount} can be used to add vertical or horizontal space, respectively. Within the aligned environment, you can use these commands to fine-tune the spacing around your \shortintertext or other elements.

4. The gather Environment

If you have a series of equations that don't need to be aligned, the gather environment can be a good choice. It centers each equation on a new line. You can use \shortintertext within gather to add explanations between the equations.

5. Be Mindful of Readability

Ultimately, the goal is to make your mathematical expressions clear and easy to understand. Don't overuse \shortintertext or other text insertions. Use them strategically to guide the reader through your logic, but avoid cluttering your equations with excessive text. Think about the visual flow of your equations and aim for a balance between mathematical notation and explanatory text.

6. Consult the Documentation

The LaTeX community is vast and helpful, and there are tons of resources available online. The documentation for packages like amsmath is invaluable. Don't hesitate to consult these resources when you encounter a problem or want to learn more about a specific command or environment.

By exploring these alternative approaches and tips, you’ll become a more versatile LaTeX user, capable of tackling a wider range of formatting challenges. Remember, practice makes perfect! The more you experiment with different techniques, the more comfortable and confident you’ll become. Now, let’s wrap things up with a summary of what we’ve learned and some final thoughts.

Conclusion

Alright guys, we've reached the end of our journey through the world of subequations and \shortintertext! We started with a common LaTeX conundrum – the challenge of inserting explanatory text between blocks of subequations. We dissected the problem, understanding why the direct approach often fails due to LaTeX's environment nesting rules. Then, we armed ourselves with a powerful solution: the aligned environment. By strategically wrapping our subequation blocks within aligned, we unlocked the ability to seamlessly insert \shortintertext, creating clear and well-structured mathematical expressions. We walked through a detailed code example, breaking down each line and explaining its purpose. This gave you a concrete template to adapt for your own documents. But we didn't stop there! We explored alternative approaches, such as the \text command, custom environments, and spacing adjustments, expanding your LaTeX toolkit and giving you more flexibility in your formatting choices. We also emphasized the importance of readability, reminding you to use \shortintertext judiciously and to prioritize clarity in your mathematical presentation. The key takeaway here is not just the specific solution to this problem, but the broader understanding of LaTeX environments and how they interact. By grasping these fundamental concepts, you'll be better equipped to tackle a wide range of formatting challenges. LaTeX is a powerful tool, and with a bit of knowledge and practice, you can create beautiful and professional-looking documents. So, keep experimenting, keep learning, and don't be afraid to dive into the documentation and explore the vast resources available online. And remember, the LaTeX community is always there to help! Whether you're a seasoned LaTeX veteran or just starting out, there's always something new to learn. So, go forth and conquer your mathematical typesetting challenges! Happy LaTeXing!