Resolving Contradictions In The Basis For Alternating K-Tensors On V

by ADMIN 69 views
Iklan Headers

Hey guys! Today, we're diving deep into a fascinating topic in linear algebra: the basis for Ak(V)\mathcal{A}^{k}(V), the linear space of alternating k-tensors on V. This stuff can seem a bit abstract at first, but trust me, it's super cool once you wrap your head around it. We'll be tackling a potential contradiction and ironing out the details. So, grab your thinking caps, and let's get started!

The Foundation: Alternating k-Tensors and Vector Spaces

Before we jump into the potential contradiction, let's lay down some solid groundwork. We need to be crystal clear on what alternating k-tensors are and how they relate to vector spaces. Understanding these basics is crucial for grasping the nuances of the basis for Ak(V)\mathcal{A}^{k}(V).

Vector Spaces: The Arena for Our Tensors

Let's kick things off with vector spaces. A vector space, in its simplest form, is a collection of objects called vectors, which can be added together and multiplied by scalars (usually real numbers) while still remaining within the same space. Think of familiar examples like the 2D plane or 3D space – these are vector spaces. But vector spaces can be much more abstract, encompassing things like polynomials or even functions.

Tensors: Multilinear Maps

Now, let's introduce tensors. A tensor is a multilinear map. What does that mean? Well, it's a function that takes multiple vectors as input and produces a scalar as output. The "multilinear" part means that the function is linear in each of its arguments. In other words, if you fix all but one of the input vectors, the function behaves like a linear transformation with respect to the remaining vector. Tensors are fundamental tools in various areas of mathematics and physics, including differential geometry, general relativity, and quantum mechanics.

Alternating Tensors: The Anti-Symmetric Ones

Among the vast family of tensors, alternating tensors hold a special place. An alternating tensor is one that changes sign when you swap any two of its input vectors. Mathematically, this means that if ω\omega is an alternating k-tensor and v1,,vk\mathbf{v}_{1}, \dots, \mathbf{v}_{k} are vectors, then

ω(v1,,vi,,vj,,vk)=ω(v1,,vj,,vi,,vk)\omega(\mathbf{v}_{1}, \dots, \mathbf{v}_{i}, \dots, \mathbf{v}_{j}, \dots, \mathbf{v}_{k}) = -\omega(\mathbf{v}_{1}, \dots, \mathbf{v}_{j}, \dots, \mathbf{v}_{i}, \dots, \mathbf{v}_{k})

for any i and j. This anti-symmetry property is what makes alternating tensors so unique and useful.

The Linear Space of Alternating k-Tensors: Ak(V)\mathcal{A}^{k}(V)

Now, let's bring it all together. The set of all alternating k-tensors on a vector space V forms a vector space itself, denoted by Ak(V)\mathcal{A}^{k}(V). This means that you can add two alternating k-tensors together, multiply them by scalars, and the result will still be an alternating k-tensor. The space Ak(V)\mathcal{A}^{k}(V) is a crucial object of study in multilinear algebra, and understanding its structure is key to many advanced mathematical concepts. In fact, the alternating tensors, particularly in the context of differential forms, play a crucial role in calculus on manifolds and provide a powerful framework for understanding integration in higher dimensions. The anti-symmetric nature of these tensors is what allows them to capture the notion of oriented volume, which is essential for defining integrals over surfaces and higher-dimensional objects. Furthermore, the exterior derivative, a fundamental operation on differential forms, relies heavily on the properties of alternating tensors, allowing us to generalize concepts like curl and divergence to arbitrary manifolds.

Basis: The Building Blocks

At the heart of linear algebra lies the concept of a basis. A basis for a vector space is a set of linearly independent vectors that span the entire space. This means that any vector in the space can be written as a unique linear combination of the basis vectors. The basis vectors act as the fundamental building blocks of the vector space, providing a coordinate system for representing all vectors within the space. Finding a basis for Ak(V)\mathcal{A}^{k}(V) allows us to understand its dimension and provides a concrete way to work with alternating k-tensors.

The Contradiction: A Deep Dive into the Basis

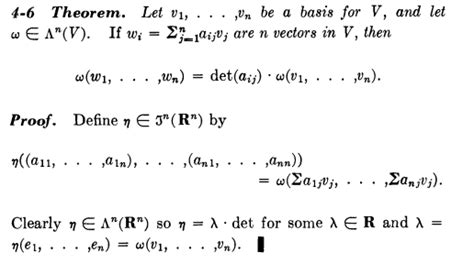
Okay, with the preliminaries out of the way, let's get to the heart of the matter: the potential contradiction regarding the basis for Ak(V)\mathcal{A}^{k}(V). This is where things get really interesting, and where we'll need to put on our detective hats to unravel the mystery. The apparent contradiction usually arises when considering the construction of a basis for the space of alternating k-tensors, Ak(V)\mathcal{A}^{k}(V), particularly in relation to the dual space of V. Let's break down the elements that lead to this perceived contradiction. One common approach to constructing a basis for Ak(V)\mathcal{A}^{k}(V) involves using the wedge product of elements from the dual space VV^{*}. Recall that if a1,,an{\bf a}_{1}, \dots, {\bf a}_{n} is a basis for V, then there exists a unique linear map ϕi ⁣:VR\phi_{i} \colon V \rightarrow \mathbb{R} such that ϕi(aj)=δij\phi_{i}({\bf a}_{j}) = \delta_{ij}, where δij\delta_{ij} is the Kronecker delta (equal to 1 if i = j and 0 otherwise). These maps ϕi\phi_{i} form a basis for the dual space VV^{*}. The wedge product, denoted by \wedge, is an operation that combines alternating tensors to produce higher-order alternating tensors. Specifically, if ωAp(V)\omega \in \mathcal{A}^{p}(V) and ηAq(V)\eta \in \mathcal{A}^{q}(V), then ωηAp+q(V)\omega \wedge \eta \in \mathcal{A}^{p+q}(V). The wedge product is anti-symmetric, meaning that ωη=(1)pqηω\omega \wedge \eta = (-1)^{pq} \eta \wedge \omega.

Constructing a Basis with Wedge Products

A standard result in multilinear algebra states that a basis for Ak(V)\mathcal{A}^{k}(V) can be constructed using wedge products of the basis elements of the dual space VV^{*}. Specifically, if we have a basis ϕ1,,ϕn\phi_{1}, \dots, \phi_{n} for VV^{*}, then the set of k-tensors

{ϕi1ϕik1i1<i2<<ikn}\{\phi_{i_{1}} \wedge \dots \wedge \phi_{i_{k}} \mid 1 \leq i_{1} < i_{2} < \dots < i_{k} \leq n\}

forms a basis for Ak(V)\mathcal{A}^{k}(V). This construction seems straightforward, but it's where the potential for contradiction can emerge. The number of elements in this basis is given by the binomial coefficient (nk)\binom{n}{k}, which represents the number of ways to choose k distinct indices from the set {1, 2, ..., n}. Now, let's consider a specific case to illustrate the potential contradiction. Suppose we choose an index i from the set {1, ..., n}. As mentioned earlier, there exists a unique linear map ϕi ⁣:VR\phi_{i} \colon V \rightarrow \mathbb{R} corresponding to this index. This is a fundamental element of the dual space VV^{*}. However, when we try to construct the basis for Ak(V)\mathcal{A}^{k}(V), we encounter a subtle issue related to the anti-symmetry of the wedge product.

The Heart of the Issue: Anti-Symmetry

The anti-symmetry property of alternating tensors and the wedge product is at the core of the apparent contradiction. Remember that if we swap any two input vectors in an alternating tensor, the sign changes. This property extends to the wedge product. For example, if we have ϕiϕj\phi_{i} \wedge \phi_{j}, then ϕiϕj=ϕjϕi\phi_{i} \wedge \phi_{j} = - \phi_{j} \wedge \phi_{i}. This means that if i = j, then ϕiϕi=ϕiϕi\phi_{i} \wedge \phi_{i} = - \phi_{i} \wedge \phi_{i}, which implies that ϕiϕi=0\phi_{i} \wedge \phi_{i} = 0. In general, any wedge product with a repeated index vanishes. This is a crucial observation because it affects the way we construct the basis for Ak(V)\mathcal{A}^{k}(V).

The Apparent Contradiction

The apparent contradiction arises when we consider the implications of this anti-symmetry for the basis construction. It might seem like we can simply choose any combination of k elements from the dual basis ϕ1,,ϕn\phi_{1}, \dots, \phi_{n} and take their wedge product to form a basis for Ak(V)\mathcal{A}^{k}(V). However, the anti-symmetry property tells us that we only need to consider combinations where the indices are strictly increasing. For example, if we are constructing a basis for A2(V)\mathcal{A}^{2}(V), we would include ϕ1ϕ2\phi_{1} \wedge \phi_{2}, but we would not include ϕ2ϕ1\phi_{2} \wedge \phi_{1} since it is simply the negative of the former. This restriction is necessary to ensure that the basis elements are linearly independent. The issue becomes more pronounced when considering specific values of k. For instance, if k > n, where n is the dimension of V, then Ak(V)\mathcal{A}^{k}(V) is the trivial vector space containing only the zero tensor. This is because we cannot choose k distinct indices from a set of n indices if k is greater than n. The anti-symmetry forces any wedge product with repeated indices to vanish, and since we must have at least one repeated index if k > n, all possible wedge products are zero. This might seem contradictory at first glance. We have a well-defined space of alternating tensors, but for certain values of k, it appears to be empty. This is the heart of the apparent contradiction that we need to resolve.

Resolving the Contradiction: Unveiling the Truth

Alright, guys, we've pinpointed the apparent contradiction. Now, it's time to put on our problem-solving hats and figure out how to resolve it. This is where the beauty of mathematical reasoning comes into play, allowing us to clarify seemingly paradoxical situations.

Understanding the Trivial Vector Space

The key to resolving this contradiction lies in a deeper understanding of the trivial vector space. The trivial vector space, denoted by {0}, is a vector space that contains only the zero vector. It's the smallest possible vector space, and it plays a crucial role in many areas of linear algebra. In our case, when k > n, the space Ak(V)\mathcal{A}^{k}(V) is indeed the trivial vector space. This means that there are no non-zero alternating k-tensors on V when k exceeds the dimension of V. This might seem counterintuitive at first, but it's a direct consequence of the anti-symmetry property of alternating tensors. As we discussed earlier, if k > n, any wedge product of k covectors from the dual space VV^{*} must have at least one repeated index. Due to the anti-symmetry, this forces the wedge product to be zero. Since the wedge products of covectors form a basis for Ak(V)\mathcal{A}^{k}(V), this implies that every alternating k-tensor must be a linear combination of zero vectors, which means it must be the zero tensor itself.

The Dimension of Ak(V)\mathcal{A}^{k}(V)

To further clarify the situation, let's consider the dimension of Ak(V)\mathcal{A}^{k}(V). The dimension of a vector space is the number of vectors in a basis for that space. We know that a basis for Ak(V)\mathcal{A}^{k}(V) can be constructed using wedge products of the basis elements of the dual space VV^{*}. The number of elements in this basis is given by the binomial coefficient (nk)\binom{n}{k}, where n is the dimension of V. Therefore, the dimension of Ak(V)\mathcal{A}^{k}(V) is (nk)\binom{n}{k}. Mathematically,

dim(Ak(V))=(nk)=n!k!(nk)!\text{dim}(\mathcal{A}^{k}(V)) = \binom{n}{k} = \frac{n!}{k!(n-k)!}

This formula holds for k = 0, 1, ..., n. When k > n, we have (n-k) < 0, and the binomial coefficient is defined to be zero. This aligns perfectly with our earlier observation that Ak(V)\mathcal{A}^{k}(V) is the trivial vector space when k > n. The dimension of the trivial vector space is zero, which means it has no basis vectors other than the zero vector itself. Let's explore this in more detail:

  • Case 1: k = 0. A0(V)\mathcal{A}^{0}(V) is the space of 0-tensors, which are simply scalars. This space is isomorphic to the field of scalars (usually the real numbers R\mathbb{R}), and its dimension is 1. The binomial coefficient (n0)\binom{n}{0} is indeed equal to 1.
  • Case 2: k = 1. A1(V)\mathcal{A}^{1}(V) is the space of alternating 1-tensors, which are linear functionals on V. This space is isomorphic to the dual space VV^{*}, and its dimension is equal to the dimension of V, which is n. The binomial coefficient (n1)\binom{n}{1} is equal to n.
  • Case 3: 1 < k < n. This is the general case where we have non-trivial alternating k-tensors. The dimension of Ak(V)\mathcal{A}^{k}(V) is given by the binomial coefficient (nk)\binom{n}{k}, which is a positive integer.
  • Case 4: k = n. An(V)\mathcal{A}^{n}(V) is the space of alternating n-tensors. Its dimension is (nn)=1\binom{n}{n} = 1. This means that there is (up to a scalar multiple) only one linearly independent alternating n-tensor on V. This tensor can be used to define the determinant of a linear transformation on V.
  • Case 5: k > n. As we have discussed, Ak(V)\mathcal{A}^{k}(V) is the trivial vector space, and its dimension is (nk)=0\binom{n}{k} = 0.

By understanding how the dimension of Ak(V)\mathcal{A}^{k}(V) varies with k, we can see that there is no contradiction. The anti-symmetry property and the construction of the basis using wedge products are consistent with the fact that Ak(V)\mathcal{A}^{k}(V) becomes trivial when k exceeds the dimension of V. The formula for the dimension, given by the binomial coefficient, elegantly captures this behavior.

The Importance of Context

Another crucial aspect of resolving the apparent contradiction is recognizing the importance of context in mathematical reasoning. When we say that a vector space is trivial, it doesn't mean that it's somehow "wrong" or that our mathematical framework is flawed. It simply means that, within the given context and definitions, the only object that satisfies the required properties is the zero vector. In the case of alternating tensors, the anti-symmetry property is a powerful constraint that limits the possible forms of tensors. When we combine this constraint with the dimension of the underlying vector space, it naturally leads to the conclusion that Ak(V)\mathcal{A}^{k}(V) is trivial for k > n. This is not a contradiction, but rather a consequence of the definitions and properties we have established.

Analogy: Polynomials

To illustrate this point further, consider an analogy with polynomials. Suppose we are looking for polynomials of degree greater than n that have n + 1 distinct roots. From the fundamental theorem of algebra, we know that a polynomial of degree d has at most d roots. Therefore, any polynomial of degree greater than n that has n + 1 distinct roots must be the zero polynomial. This doesn't mean that the concept of polynomials is contradictory. It simply means that, within the specific constraints we have imposed, the only solution is the zero polynomial. Similarly, the triviality of Ak(V)\mathcal{A}^{k}(V) for k > n is a natural consequence of the properties of alternating tensors, not a contradiction.

Conclusion: Embracing the Elegance of Linear Algebra

So, guys, we've journeyed through the world of alternating k-tensors, explored a potential contradiction in the basis for Ak(V)\mathcal{A}^{k}(V), and emerged with a clear resolution. The key takeaway is that the apparent contradiction arises from a subtle interplay between the anti-symmetry property of alternating tensors and the dimension of the underlying vector space. By carefully considering the construction of the basis using wedge products and understanding the concept of the trivial vector space, we can see that there is no actual contradiction. Instead, we find a beautiful and consistent mathematical framework.

This exploration highlights the elegance and rigor of linear algebra. It demonstrates how seemingly paradoxical situations can be resolved through careful definitions, logical reasoning, and a deep understanding of the underlying concepts. The space of alternating tensors, Ak(V)\mathcal{A}^{k}(V), is a fundamental object in multilinear algebra, with applications in various areas of mathematics and physics. By mastering the concepts and techniques we've discussed today, you'll be well-equipped to tackle more advanced topics in these fields.

Remember, guys, the beauty of mathematics lies not only in the answers we find but also in the process of exploration and discovery. So, keep questioning, keep exploring, and keep embracing the elegance of linear algebra!